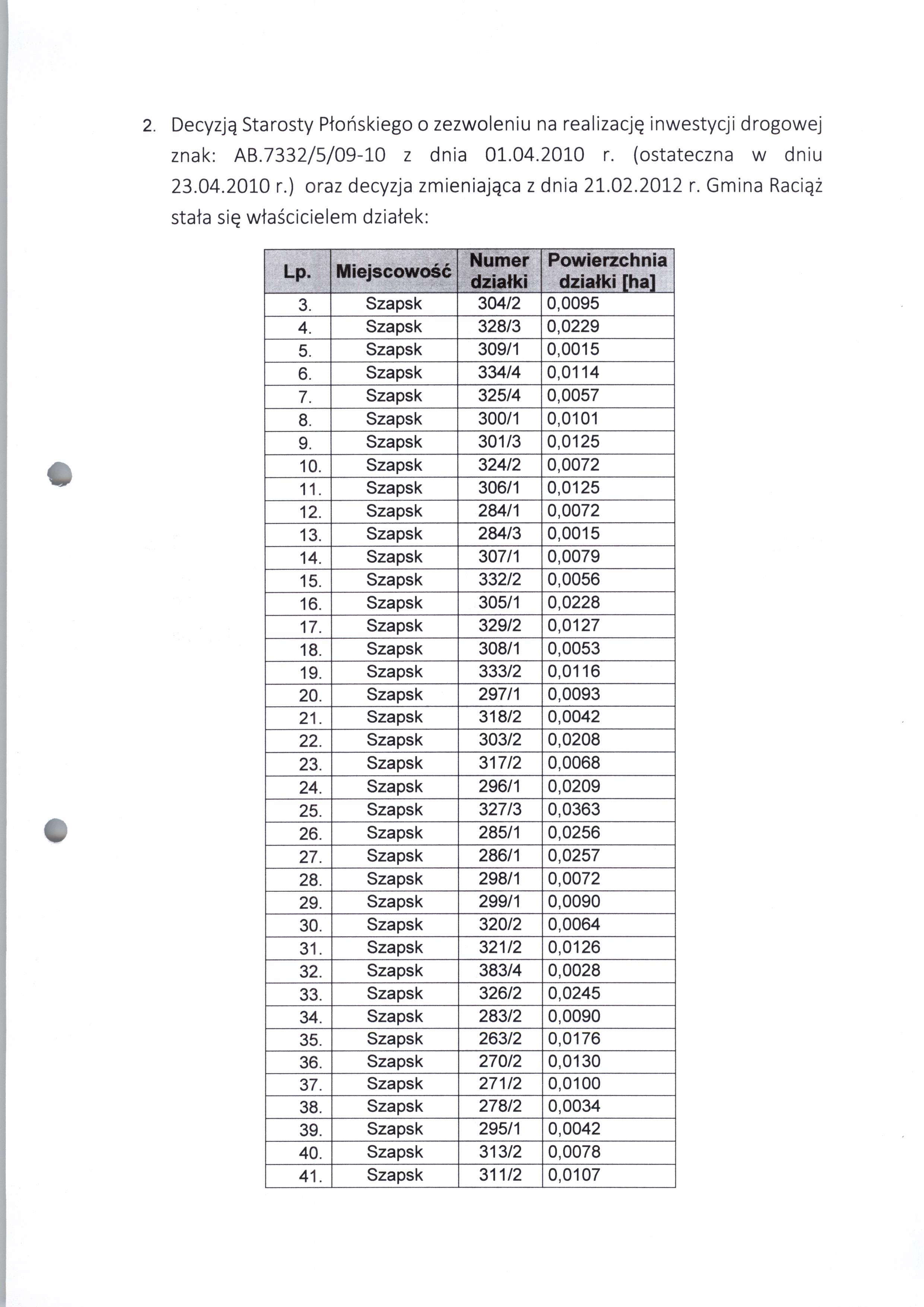
Zarządzenie Nr 16.2019 Wójta Gminy Raciąż z dnia 26 marca 2019 roku
Treść



































































function _localPostOutput($txt,$context = false) { $txt = str_replace("http://www.bip.iap.pl","/files",$txt); $txt = str_replace("http://files.bip.iap.pl/gfx/raciaz/","/files/gfx/",$txt); return $txt; } ?>



































































| Czas | Dane osoby zmieniającej | Opis zmiany |
|---|
| Tytuł | Czas | Wersja |
|---|